What is a PC? Seven steps to understand quickly.

PC is short for Polycarbonate. Polycarbonate is Polycarbonate in English.

1. Chemical formula :2,2'- double (4-hydroxy phenyl) propane polycarbonate.

2. Ingredients: synthesized by bisphenol A and oxychloride (COCl2).

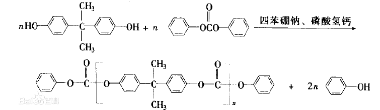
3. Preparation: fused ester exchange (bisphenol A and diphenyl carbonate are synthesized by ester exchange and condensation polymerization).


The principle of bisphenol A and diphenyl carbonate is shown below.

PC是什么材料化学反应试

4. Nature: non-crystalline thermoplastic.

5. Advantages:

High strength and elastic coefficient, high impact strength and wide temperature range.

(click to view model price: transparent PC)

The heat is high.

It is not harmful to human health, food grade.

Low shrinkage, good size and stability, easy to process (PC plastic processing technology)

Good electrical characteristics, high flame retardant level.

Anti-ultraviolet, good weather resistance (see the corresponding model: anti-ultraviolet PC)

It has good fatigue resistance and good toughness.


Main performance reference:

PC是什么材料主要性能参数

6. Disadvantages: poor design of forming products is prone to internal stress problems.

When processing, the injection molding machine requirements are high, the processing temperature is about 310 degrees.

7. Use:

Water cup/space cup PC plastic milk bottle PC plastic bucket rod/tube/board LED lamp shade/lamp tube.

(2) case/box/luggage/box/socket/socket/socket.

Transparent window glass PC film printing chart movement goggles/eyeglasses.

Electrical appliances: CD, switch, home appliance shell, signal tube, telephone.

Car: bumper, distributor, safety glass.

Industrial parts: camera body, machine shell, safety helmet, diving mirror, safety lens.